La curvatura espacial está dada por la ecuación de Friedmann:
En el instante actual:
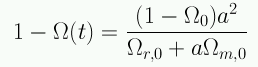
Las mediciones del CMB y de las supernovas indican que Ω es muy cercano a 1:
La Relatividad General no restringe el valor de Ω y resulta curioso que el valor medido esté tan cerca de 1. Podría haber tenido el valor 1016 o 10-16 sin violar ninguna ley física. Podríamos argumentar que coincidentalmente las condiciones iniciales del Universo produjeron Ω0~1. Después de todo Ω0=0.8 o Ω0=1.2 no son tan cercanos a 1. Sin embargo, al extrapolar Ω hacia el pasado, la cercanía de Ω a 1 se hace más y más difícil de entender como una simple coincidencia. Veamos como evoluciona Ω en el tiempo.
Combinando las dos ecuaciones anteriores:
Durante la época en que la radiación y la materia dominaba, la constante de Hubble estaba dada por:
con lo cual:
A medida que el factor de escala (a) crecía, Ω se alejaba más y más de 1. Durante la época de radiación:
Durante la época de dominación de la materia:
Consideremos el caso benchmark: &Omegar,0=8.4×10-5, &Omegam,0=0.3±0.1, y &OmegaΛ,0=0.7±0.1. En el instante de la igualdad entre la materia y la radiación a z=3600 (a=1/3600) el parámetro de densidad era mucho más cercano a 1:
En el instante de la nucleosíntesis a=3.6×10-8 y el parámetro de densidad era aún mucho más cercano a 1:
Nuestra existencia depende de este extraordinario ajuste fino ya que un cambio en Ω de sólo una parte en 30000 hubiese hecho que el Universo colapsara o se expandiera rápidamente sin haber dado la oportunidad para que se formaran las galaxias, las estrellas y los planetas. Podría ser una coincidencia, pero sería mucho más satisfactorio encontrar un mecanismo físico que aplanara el Universo temprano en vez de tener que acudir a condiciones iniciales tan caprichosas.
Durante la época del ultimo scattering (z~1100) el Universo está dominado por la materia y la ecuación de Friedmann se reduce a:
Dos regiones en la superficie del CMB separadas por más de 20 estaban fuera del horizonte de la otra y no pueden haber estado en comunicación física. Sin embargo, el CMB muestra variaciones de temperatura de apenas 10-5 a escalas mayores de 20.
Porqué distintas regiones del CMB que estaban fuera de contacto físico resultaron tan parecidas en sus propiedades físicas? El hecho que el CMB tenga la misma temperatura a escalas mayores que la distancia al horizonte se denomina el problema del horizonte. Es una coincidencia o existió un mecanismo físico que produjo esta homogeneidad global?
Las distintas energías de unificación y las correspondientes edades del Universo se muestran en este gráfico:
En 1981 Allan Guth propuso la teoría de la inflación con el fin de resolver el problema de porqué Ω es tan cerca de 1, el problema del horizonte y el problema del monopolo. La inflación es una expansión acelerada del Universo temprano producida por una constante cosmológica &Lambdai. Una componente de este tipo tiene la propiedad de producir una densidad de energía constante y una presión negativa:
En este caso la ecuación de aceleración es:
Si Λ>0, la constante cosmológica implica una expansión acelerada. La ecuación de Friedmann (para k=0) es:
Si &Lambdai se mantuvo constante durante la inflación Hi también se mantuvo constante y el factor de escala aumentó exponencialmente.
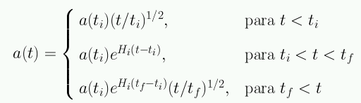
Para ver como la inflación puede resolver los tres problemas anteriores, supongamos que el Universo tuvo una expansión exponencial desde t=ti hasta t=tf en las épocas tempranas dominadas por la radiación. En este caso simple el factor de escala resulta ser:
Entre ti y tf el factor de escala creció en un factor:
Para producir expansión exponencial con Hi=1036 s-1 se requiere una constante cosmológica con una densidad de energía:
Esta densidad es mucho mayor que la densidad de energía causada por la constante cosmológica actual.
La ecuación de Friedmann da la evolución del parámetro de curvatura (capitulo 3, sec. II):
Durante la inflación causada por una constante cosmológica constante, H se mantiene constante y a(t) crece exponencialmente, por lo cual la diferencia entre Ω y 1 decrece exponencialmente:
Si comparamos el parámetro de densidad antes y después de la inflación:
Suponiendo que antes de la inflación el Universo parte con una curvatura pronunciada |1-Ω(ti)|~1, al final de la inflación tenemos:
Vemos que el Universo termina siendo increíblemente plano luego de la inflación. Para satisfacer la observacion actual |1-Ω0|<0.2, se requiere N>60.
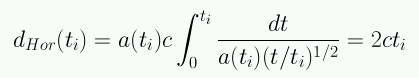
En general, la distancia al horizonte es:
Antes de la inflación el Universo estaba dominado por la radiación:
Al final de la inflación:
Para N ciclos de expansión:
Para el modelo de inflación en que ti=10-36 s y Hi=1036 s, la distancia al horizonte justo antes de la inflación es:
Para el modelo con N=100, la distancia al horizonte justo después de la inflación es:
El resultado neto de la inflación es que el tamaño del horizonte crece en un factor eN. En el momento del ultimo scattering (CMB) esta distancia se proyecta a 3×1017 Mpc, lo cual es enormemente más grande que el tamaño del horizonte en el momento del ultimo scattering (0.4 Mpc) si no hubiese habido inflación.
La distancia propia actual a la superficie del CMB es de 14.000 Mpc. En el momento del ultimo scattering la parte actualmente visible del Universo estaba concentrada en 12 Mpc (14000/1100 Mpc), lo cual es mucho menor que el tamaño del horizonte de 3×1017 Mpc → todo el Universo observable (incluyendo el CMB) estuvo en contacto causal.
Otra manera de ver que el CMB estuvo en contacto causal: consideremos la distancia propia actual a la superficie del CMB (ultimo scattering):
Si la inflación terminó en tf=10-34 s, lo cual corresponde a af~2×10-27, en el instante justo después de la inflación el CMB que se observa hoy día estuvo contenido es una esfera de radio propio:
Justo antes de la inflación el Universo actualmente visible estaba contenido es una esfera de radio propio:
Esta distancia es 16 órdenes de magnitud más pequeña que el tamano del horizonte antes de la inflación (6×10-28 m) → el Universo que vemos hoy día tuvo todo el tiempo de alcanzar el equilibrio térmico antes de comenzar la inflación.
Debido a la expansión exponencial la densidad del número de monopolos decayó exponencialmente como nM~e-3Hit. La densidad de monopolos en la era GUT era nM(tGUT)~1082 m-3. Luego de 100 ciclos de inflación la densidad de monopolos había caído a nM(tf)=e-300nMtGUT ~5×10-49 m-3. Durante la expansión desde a(tf)~2×10-27 hasta ahora (a0=1), la densidad habría caído a nM(t0)=1×10-61 Mpc-3. La probabilidad de encontrar un monopolo es extraordinariamente baja.
La inflación resuelve 3 problemas de la cosmología pero crea otros problemas: qué mecanismo gatilla la inflación y qué mecanismo la detiene? No hay consenso a este respecto entre los cosmólogos. Un mecanismo hipotético involucra una inusual forma de materia conocida como campo escalar φ(r,t), que es función de la posición y del tiempo, el cual tiene asociado una energía potencial V(φ) que actúa como una constante cosmológica, la cual es responsable de una expansión exponencial.
| Evento | Tiempo | Factor de escala (a) | Redshift | Temperatura (K) | Energía (eV) |
|---|---|---|---|---|---|
| Big Bang | 0 | 0 | ∞ | ∞ | ∞ |
| Planck | <5×10-44 s | --- | --- | >1032 | >2×1028 |
| TOE | 10-43 s | 7×10-85 | 1084 | 1032 | 2×1028 |
| GUT | 10-36 s | 7×10-71 | 1072 | 1028 | 2×1024 |
| Inflación | 10-36-10-34 s | 7×10-71-2×10-27 | 1072-1027 | --- | --- |
| desacoplamiento de neutrinos | 1 s | 2×10-10 | 4×109 | 9×109 | 2×106 |
| nucleosíntesis | 200 s | 3×10-9 | 3×108 | 8×108 | 2×105 |
| igualdad materia-radiación | 47.000 yrs | 2.8×10-4 | 3570 | 9730 | 2.2 |
| recombinación | 240.000 yrs | 7×10-4 | 1370 | 3740 | 0.9 |
| desacoplamiento de fotones | 350.000 yrs | 9×10-4 | 1100 | 3000 | 0.7 |
| igualdad materia-Λ | 9.8 Gyr | 0.75 | 0.33 | 3.6 | 8×10-4 |
| ahora | 13.5 Gyr | 1 | 0 | 2.725 | 6×10-4 |