Tenemos 3 ecuaciones independientes para la dinámica del Universo y 3 incógnitas: ε(t), P(t) y a(t):
Para resolver el problema debemos especificar la ecuación de estado. El Universo contiene distintas componentes de
energía (y presión) y uno de los desafíos actuales de la cosmología es identificar todas las fuentes posibles de
energía. A continuación estudiaremos aquellas más relevantes para la cosmología y su evolución en el tiempo.
I. Componentes de energía del Universo
La solución para a(t) se complica debido que el Universo contiene diferentes componentes de energía.
Al menos hay dos componentes obvias: materia no relativista y radiación. En los ultimos años ha
aparecido evidencia observacional de que hay otras formas de energía más exóticas. Afortunadamente
la solución a las ecuaciones anteriores se simplifica gracias a que tanto la densidad de energía
como la presión de las distintas componentes son cantidades aditivas, i.e,
La ecuación de fluido se debe satisfacer para cada componente individual:
por lo cual
Asumiendo que ωi es independiente del tiempo:
Veamos algunos ejemplos de componentes:
- Partículas relativistas (radiación):
La densidad de radiación decae más rapido que la densidad de la materia!
- Densidad de radiación asociada al CMB actualmente es:
εCMB,0 = α T4 = 7.56 × 10-16 × 2.734 = 4.17 × 10-14 J m-3
y el parámetro de densidad es:
ΩCMB,0 = εCMB,0 / εc,0 = 4.17 × 10-14 / 8.3 × 10-10 = 5 × 10-5
Esta componente no juega un papel importante en la expansión actual, pero sí jugó un papel importante
en las etapas tempranas del Universo.
- La densidad de radiación asociada a las estrellas es mucho menor:
εestrellas,0~1 × 10-15 J m-3
y esta componente se puede ignorar ahora y siempre.
- Densidad de energía asociada a los neutrinos.
En teoría se espera que exista un Fondo Cósmico de Neutrinos (CNB) análogo al CMB. Asumiendo
que los neutrinos se comportan de manera relativista se espera εν,0 = 0.681 × εCMB,0.
Los neutrinos cósmicos aún no se han detectado. Si efectivamente existe el CNB su parámetro de densidad sería:
Ων,0 = 0.681 × ΩCMB,0 = 3.4 × 10-5
- Materia no relativista:
Las mediciones actuales favorecen un universo con
Ωm,0 = 0.3
La densidad de energía de materia no relativista es sólo un 30% de la densidad crítica.
- Constante cosmológica:
Las mediciones actuales favorecen un universo con
ΩΛ,0 = 0.7
Cual es el significado fisico de Λ? Hay que buscar alguna componente de energía
cuya densidad de energía permanezca constante a medida que el Universo se expande.
El candidato preferido hoy día es la energía del vacío.
De acuerdo a la física cuántica el principio de incertidumbre permite la constante
creación y aniquilación de pares de partículas y antipartículas en el espacio
vacío. En este marco hay una densidad de energía asociada al vacío de origen
cuántico que es independiente del tiempo a medida que el Universo se expande.
El problema es que no hay una teoría que prediga el valor de esta energía.
II. Evolución de las componentes de energía
Evolución de las tres componentes principales de energía
- La densidad de energía asociada a la constante cosmológica es la componente dominante
en la actualidad. Sin embargo,
Para a=0.75 el Universo tenía igual contribución energética de la materia y la constante cosmológica.
Esto corresponde a z=0.33. Antes de esto la materia dominaba sobre Λ.
- La densidad de energía de radiación es la menos importante hoy día. Sin embargo,
Para a=1/3600 (z~3600) la componente de radiación era igual a la componente de materia. A redshifts
mayores se habla de la era de radiación porque esta era la componente dominante. Esta era fue seguida
por una era de la materia, y hoy día vivimos en la era de la constante cosmológica.
III. Ecuación de Friedmann con múltiples componentes de energía
IV. Solución a las ecuaciones dinámicas sólo con curvatura
Este es un Universo vacío sin radiación, sin materia, sin constante cosmológica ni energía de ningún tipo.
En este caso:
Solución:
- k=+1 está prohibido porque a' sería imaginario
- k=0 está permitido ya que a'=0 ⇒ a(t)=constante
Universo vacío, plano y estático (descrito por la métrica de Minkowski)
- k=-1:
t0 es la edad del Universo.
Usando la definición de la constante de Hubble:
Si medimos H0 podemos saber el radio de curvatura actual del Universo.
Al no haber atracción gravitacional el Universo se expande sin desaceleración, i.e., a"=0.
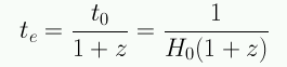
Redshift:
Si medimos el redshift podemos saber en que instante fue emitida la luz:
Para z=0, te=t0 mientras que para z=∞, te=0.
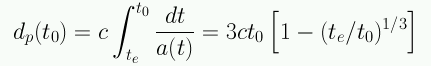
Para la métrica de R-W, la distancia propia se expresa en general:
En este caso:
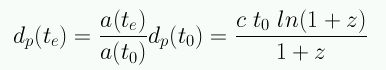
Al medir z podemos saber la distancia propia al objeto.
A redshifts pequeños la relación entre d y z es lineal (ley de Hubble).
Si z=0 → d=0.
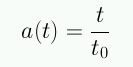
V. Modelos planos sólo con materia
Un universo plano sólo con materia se denomina Einstein-de Sitter.
La ecuación de Friedmann para w=0 se reduce a:
La solución para este caso es:
La constante de Hubble:
La edad del Universo:
Notar que la edad del Universo es menor que el tiempo de Hubble.
Redshift:
Distancia propia:
La distancia al horizonte es mayor que la distancia de Hubble:
En un universo plano dominado por materia un observador sólo puede ver una
parte del Universo. Nada fuera del Universo visible tiene
influencia sobre el observador.
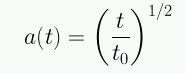
VI. Modelos planos sólo con radiación
Este es un caso especial del modelo plano. Este es un buen modelo para las épocas
tempranas del Universo en donde dominaba la radiación. La ecuación de Friedmann
para w=1/3 es:
La solución para este caso (ω=1/3) es:
Evolución de la densidad de energía y la temperatura:
En un universo plano dominado por radiación (ω=1/3), un
observador sólo puede ver una parte del Universo. Nada fuera del Universo visible tiene
influencia sobre el observador.
VII. Modelos planos sólo con Λ
Ahora consideremos un universo plano con ω=-1. La ecuación de Friedmann toma la forma:
Solución:
El Universo se expande exponencialmente y es infinitamente viejo. El redshift permite calcular
el instante de la emisión:
y también permite calcular la distancia propia a la fuente:
La distancia propia varía linealmente con z (lo cual no era cierto para los otros modelos).
En un universo plano con ω=-1 el horizonte es infinito y todo el Universo está
en contacto causal con el observador.
VIII. Evolución del Factor de escala y de la Distancia propia
mhamuy@das.uchile.cl