Es imposible medir como varía el factor de escala a(t) desde el Big Bang, pero sí podemos hacer mediciones que nos permiten determinar a(t) para épocas cercanas a t0. Para esto podemos efectuar una expansión de Taylor cerca de t0 para las cantidades de interés:
Usando la definición de la constante de Hubble H(t) y del parámetro de desaceleración q(t):
Notar que el parámetro q es adimensional y es negativo cuando el Universo se desacelera y es positivo cuando se acelera. En esta expansión de Taylor los parámetros H y q describen la cinemática. Podemos usar la ecuación de la aceleración:
para ver como depende q de los parámetros cosmológicos. Recordando la definición de densidad crítica y parámetro de densidad:
la ecuación de aceleración da una relación entre q y los parámetros de densidad de las distintas componentes del Universo:
Para un universo sólo con radiación, materia común y constante cosmológica:
Podemos ver que si logramos medir q0 podemos determinar una combinación de parámetros εi. Los valores individuales no pueden deducirse a partir de q0. Esto es lo que se llama "degeneración". Para remover la degeneración se requieren mediciones adicionales. Usando los valores del modelo benchmark ΩΛ,0=0.7, Ωm,0=0.3 y Ωr,0≈0 obtenemos q0=-0.55. Durante la expansión el parámetro de aceleración muestra la siguiente evolución:
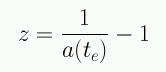
Una cantidad que es fácil de medir es el redshift, el cual contiene informacion sobre el factor de escala en el momento de la emisión. Por definición:
Invirtiendo la ecuación anterior obtenemos una aproximacion para el look-back time a partir del redshift:
La distancia propia no se puede medir directamente pero veremos que podemos medir ciertas cantidades estrechamente ligadas a la distancia propia. Por definición la distancia propia está ligada al factor de escala:
Usando la expansión para a(t) podemos obtener la siguiente aproximación para la distancia propia a partir del look-back time:
El primer término corresponde a la distancia en un universo plano y estático. El segundo término es una corrección debido a la expansión. Usando la relación anterior entre look-back time y redshift obtenemos una relación aproximada entre distancia propia y redshift:
A redshifts pequeños se obtiene la habitual ley de Hubble en que dp∝z. Esta linealidad es válida para todo z sólo en el caso qo=-1. En general se espera observar una curvatura en el diagrama de Hubble a redshifts altos, la cual está determinada por qo.
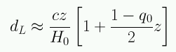
La distancia lumínica se define usando la ley del inverso del cuadrado:
En el capitulo 2 (Sec. VII) vimos que en la aproximación de un universo plano la relación con la distancia propia es:
En el límite de bajos redshifts la expansión de Taylor arroja:
Para un cambio δq0, el cambio esperado en la distancia es:
Por ejemplo, para distinguir entre modelos que difieren en δq0=0.5 a z=0.5 necesitamos medir distancias con precisiones de 12.5%. A redshifts más altos no se requiere tanta precisión pero los objetos son más débiles y difíciles de observar.
Para un cambio δq0, el cambio esperado en magnitud es:
Para distinguir entre modelos que difieren en δq0=0.5, a z=0.5 necesitamos medir magnitudes de patrones lumínicos con precisiones de 0.27 mag.