En el instante actual:
Usando las definiciones del parámetro de densidad y de densidad crítica:
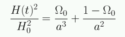
la ecuación de Friedmann toma la forma:
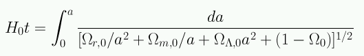
Para el caso de un universo con materia, radiación y constante cosmológica, la solución es:
en que:
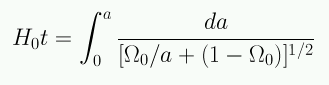
Hasta antes de 1998 se pensaba que el Universo no tenía constante cosmológica y que la mayoría de la energía era aportada por la materia no relativista, por lo cual esta solución es de interés histórico. Ecuación de Friedmann:
La ecuación de Friedmann muestra que, para un universo en expansión, existirá un tiempo para el cual H(t)=0.
En ese instante amax= Ω0 / (Ω0 - 1), la expansión se detendrá,
y luego vendrá una etapa de contracción durante la cual las galaxias mostraran blueshifts. La contracción
terminará con a=0. Esto es lo que se llama BIG CRUNCH.
La solución a la ecuación de Friedmann se obtiene de forma paramétrica
en donde el parámetro θ varía de 0 a 2π. El factor de escala se anula para θ=0 (Big Bang) y θ= 2π (Big Crunch). El tiempo para el cual ocurre el Big Crunch es:
La ecuación de Friedmann muestra que, para un universo en expansión, la expansión continuará por siempre. Para épocas tempranas a(t)∝t2/3, mientras que para épocas tardías a(t)∝t. La solución a la ecuación de Friedmann se obtiene de forma paramétrica
Este era el modelo estándar en la década de 1990. La ecuación de Friedmann muestra que cuando a → ∞, H(t) → 0. La expansión se detiene en un tiempo infinito. La solución a la ecuación de Friedmann es a(t)∝t2/3.
Para modelos sólo con materia, la densidad de la materia determina tanto la geometría del universo como su destino.
Los posibles tipos de soluciones se pueden ver en el plano (Ωm,0,ΩΛ,0):
La línea roja corresponde a modelos planos (Ωm,0 + ΩΛ,0 = 1). Sobre esta diagonal hay modelos cerrados (k=1) y bajo esta diagonal hay modelos abiertos (k=-1). El destino de la expansión dependerá de los valores individuales de Ωm,0 y ΩΛ,0. Podemos distinguir cuatro tipos de modelos:
Notar que:
Este es el mejor modelo para el Universo en que vivimos. Los parámetros del modelo son:
| PARAMETRO | VALOR |
|---|---|
| Fotones | Ωγ,0=5.0 × 10-5 |
| Neutrinos | Ων,0=3.4 × 10-5 |
| Total Radiación | Ωr,0=8.4 × 10-5 |
| Masa bariónica | Ωbar,0=0.04 |
| Masa no bariónica | Ωdm,0=0.26 |
| Total Materia | Ωm,0=0.30 |
| Constante Cosmológica | ΩΛ,0=0.70 |
| Constante de Hubble | H0=70 |
La edad del Universo: t0 = 0.964 H0-1 = 13.5 Gyr.
La época en que la materia y la radiación tienen igual densidad es: 47.000 yr.
La época en que la materia y la radiación tienen igual densidad es: 9.8 Gyr.
Las parámetros de las transiciones son:
| FACTOR DE ESCALA | TIEMPO COSMICO | |
| radiación-materia | ar m=2.8 × 10-4 | tr m=4.7 × 104 yr |
| materia-Λ | amΛ=0.75 | tmΛ=9.8 Gyr |
| ahora | a0=1 | t0=13.5 Gyr |
El factor de escala se calcula numéricamente a partir de la ecuación de Friedmann:
A partir de a(t) podemos calcular la distancia propia a un objeto de redshift z:
Para z → ∞, dp → 3.24 c/H0 que corresponde a la distancia al horizonte y tiene un valor de 14.000 Mpc para el modelo benchmark. No podemos ver más allá de esta distancia porque la luz aún no ha tenido el tiempo para llegar.
A partir de a(t) podemos calcular el look-back time, es decir el tiempo desde que la luz ha estado viajando desde que fue emitida (t0-te):
Por ejemplo, un objeto a z=6 emitió la luz a te=0.9 Gyr y t0-te=12.6 Gyr. Los telescopios son máquinas del tiempo!