Lectura Sugerida:
Barbara Ryden (todo el Capítulo 7)
Determinación de la constante de Hubble: Freedman et al. (2001, ApJ, 553, 47)
Determinación de la constante de Hubble: Sandage et al. (2006, astro-ph/0603647)
Supernovas Ia: Hamuy et al. 1996 (AJ, AJ, 112, 2398), Phillips et al. 1999 (AJ, 118, 1766)
Medición de aceleración: Riess et al. 1998 (AJ, 116, 1009)
Medición de aceleración: Perlmutter et al. 1999 (ApJ, 517, 565)
Medición de aceleración: Betoule et al. 2014 (A&A, 568, 22)
Aunque la distancia propia a una galaxia es conceptualmente útil, no es una cantidad medible ya que se requeriría una medición instantánea de la distancia. Sería necesario medir con una huincha que se extendiera a velocidad infinita o tendríamos que detener la expansión del Universo. Tenemos que buscar otras definiciones de distancias que se puedan implementar.
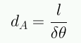
Un método empírico para determinar distancias cosmológicas consiste en medir el tamaño angular de un objeto cuyo tamaño físico sea conocido. Si el largo propio de esta regla es l, el objeto está alineado perpendicularmente a la línea de visión y subtiende un ángulo δθ, podríamos calcular la distancia de diámetro angular:
La cantidad dA sería la distancia propia a la regla si el Universo fuese estático y euclidiano. Para el caso general de un universo curvo necesitamos usar la métrica de Robertson-Walker para derivar la relación entre distancia y coordenada comóvil ρ. Para esto supongamos que las coordenadas de los extremos de la regla son (ρ,θ1,φ) y (ρ,θ2,φ). A medida que la luz se mueve hacia el obervador, los fotones se desplazan a lo largo de geodésicas con θ=constante y φ=constante. El tamaño angular de la regla será δθ=θ2-θ1. La distancia ds entre los dos extremos, medida en el instante de la emisión te se obtiene de la métrica:
Para el caso de una regla de largo l, tenemos l=ds, por lo cual
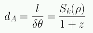
De este modo, la distancia de diámetro angular resulta:
Para el caso de un universo plano (k=0), obtenemos una relación simple con la distancia propia:
La distancia de diámetro angular es menor por un factor (1+z) que la distancia propia al objeto. La distancia de diámetro angular aumenta con el redshift, alcanza un máximo cerca de z~1.6, y luego decrece con el redshift. Eso implica que si el cielo estuviese lleno de reglas cósmicas del mismo largo, sus tamaños angulares dismimuirían hasta z~1.6 y luego aumentarían a redshifts mayores. El cielo estaría lleno de reglas grandes pero débiles.
En la práctica resulta difícil identificar reglas cósmicas con tamaño conocido. Las galaxias no sólo no tienen bordes bien definidos, sino que tienden a aumentar de tamaño a medida que se mezclan con galaxias vecinas. Los cúmulos de galaxias también tienden a crecer con el tiempo por lo cual el método de diámetro angular está plagado de incertezas.
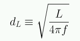
Un método habitual en mediciones de distancias astronómicas es el del patrón lumínico (standard candle), el cual consiste en medir el flujo f de un objeto de luminosidad conocida L. Usando la ley del cuadrado inverso podemos definir la distancia lumínica mediante:
La cantidad dL es una "distancia" y sería la distancia propia a la fuente si el Universo fuese estático y euclidiano. Necesitamos derivar la relación entre distancia propia y distancia lumínica. Para derivar una expresión para la distancia lumínica hay que pensar en término de fotones emitidos por la fuente (en el origen de coordenadas), los cuales se dispersan sobre una esfera de radio propio dp(t0)=ρ (ρ es la coordenada comóvil del observador). Para calcular el área de la esfera recordemos la métrica de Robertson-Walker:
El área propia de la esfera centrada en la fuente y radio propio ρ al momento de la recepción de los fotones es:
Para k=0 se recupera la expresión habitual de la métrica euclidiana (4πρ2). El área propia será menor que 4πρ2 cuando k=1, y mayor que 4πρ2 cuando k=-1.
Aparte de estos efectos geométricos, la expansión del universo hace que cada fotón disminuya su energía en un factor (1+z):
La expansión también causa la dilatación del tiempo:
por lo cual los fotones emitidos en un intervalo δte llegan en un intervalo mayor δt0. Es decir la tasa de recepción de fotones (el flujo medido) disminuye en un factor (1+z) con respecto a un universo estático. El resultado es que en un universo curvo en expansión el flujo medido es:
Comparando con la definición de distancia lumínica dada anteriormente, obtenemos:
en que la aproximación Sk≈ρ es válida cuando R >> ρ. En la aproximación de un universo plano la relación con la distancia propia es:
Vemos que si usamos un patrón lumínico y la ley del cuadrado inverso, obtendremos una sobre estimación por un factor (1+z) de la distancia propia.
Las Cefeidas son estrellas muy luminosas (102-105 Lsol) y de luminosidad variable
Si logramos descubrir Cefeidas en otra galaxia NGC y medimos sus periodos y flujos podemos usar la ley del cuadrado inverso para determinar su distancia:
Pero cuál es la luminosidad de las Cefeidas?
con lo cual
Necesitamos la distancia a la LMC. Cómo se mide esta distancia? Hay muchos métodos. Por ejemplo, usando el HST se obtiene una paralaje trigonométrica a δ Cep que corresponde a una distancia de 273 ± 11 pc :
Una Cefeida del mismo periodo (log(P)=0.73) en la LMC tiene un flujo 33.730 veces menor que δ Cep. Usando la ley del cuadrado inverso,
se obtiene una distancia a la LMC de 50 kpc, lo que equivale a un módulo de distancia (5 log d/kpc - 5)=18.50.
Hay muchos otros métodos para determinar la distancia a la Nube de Magallanes:
Para determinar la constante de Hubble el equipo de Freedman et al. utilizó el telescopio espacial (HST) para descubrir Cefeidas lo más lejanas posibles. Lograron medir Cefeidas en 18 galaxias espirales entre 1-22 Mpc. Adoptando una distancia de 50 kpc para la LMC, obtuvieron el siguiente diagrama de Hubble:
El valor de H0 que mejor se ajusta a los datos es 75 ± 10 (Freedman et al. 2001, ApJ, 553, 47).
Este diagrama revela errores pequeños en las distancias, pero errores muy grandes en los redshifts. Esto se debe a que los movimientos aleatorios de las galaxias afectan significativamente los redshifts cosmológicos. Para resolver este problema se necesitan distancias a galaxias más lejanas. Debido a su enorme luminosidad (107-109 Lsol) las supernovas de tipo Ia son los objetos astrofísicos preferidos para este propósito.
Para obtener una medida precisa de la constante de Hubble es necesario determinar distancias a galaxias con redshifts mayores a 0.01 de modo de no tener que preocuparse de los movimientos peculiares de las galaxias. Las Cefeidas sólo permiten medir distancias hasta 25 Mpc (lo que corresponde a z=0.006).
y se usa el brillo máximo como estimacion del flujo.
Esto demuestra que las SNs Ia NO son buenos patrones lumínicos (standard candles)
Esta relación permite usar el ancho de la curva de luz para estandarizar las luminosidades de las SNs Ia como si fuera un "dimmer". Las SNs Ia resultan entonces patrones lumínicos estandarizables (standarized candles) tal como las Cefeidas.
Habiendo estandarizado el flujo de una SN en una galaxia X, podemos determinar su distancia:
Diagrama de Hubble en base a SNs Ia:
Parte de las diferencias se deben a:
Para medir parámetros cosmológicos (densidades de energía) necesitamos medir distancias a objetos a redshift altos ya que las diferencias en distancias solo aparecen a z>0.2.
Para poder medir distancias a z=0.2 los objetos a observar deben ser muy luminosos. Si bien las galaxias son muy luminosas, éstas presentan un gran rango de luminosidades. Además las luminosidades de las galaxias evolucionan en el tiempo. Los objetos que reunen la condición de 1) ser luminosos y 2) tener luminosidades calibrables son las supernovas de tipo Ia. Esto quedó establecido por el proyecto Calán/Tololo en 1994.
El resultado del proyecto Calán/Tololo sentó las bases para extender el diagrama de Hubble a redshifts mayores a z=0.1 y medir parámetros cosmológicos. Recientemente, dos grupos de astrónomos realizaron búsqueda de supernovas lejanas usando el telescopio de 4m de Cerro Tololo. Los primeros resultados fueron publicados en 1998:
En el eje horizontal se grafica al redshift y en el eje vertical se grafica la magnitud aparente (medida logarítmica de la distancia lumínica) de las supernovas:
Para medir parámetros cosmológicos la constante aditiva es irrelevante ya que lo que importa es la diferencia de magnitud entre las supernovas lejanas y las cercanas para medir la desviación con respecto a una línea recta.
Usando como referencia las supernovas Calán/Tololo, Riess et al. (1998, AJ, 116, 1009) y Perlmutter (1999, ApJ, 517, 565) llegaron al mismo resultado: las supernovas lejanas (z~0.5) son en promedio ~0.25 mag más débiles (o ~12% más lejanas) que lo esperado para un modelo sin materia. La diferencia es aún mayor cuando se consideran modelos con materia. El hecho de que las supernovas sean más debiles de lo esperado se debe a que el Universo se ha acelerado desde el momento en que los fotones fueron emitidos! Estas observaciones implican una componente de energía que produce una fuerza repulsiva! Este resultado tomó por sorpresa a los cosmólogos y causó un gran impacto en toda la comunidad científica.
Este experimento fue el primero en aportar evidencia directa de que hay una componente de energía en el Universo que produce una aceleración. Inicialmente, por razones de simplicidad esta componente se atribuyó a una constante cosmológica (ω=-1), aunque no se pueden descartar componentes de energía con 1 < ω <-1/3 que también producen aceleración. El nombre genérico para estas componentes es el de energía oscura. El impacto de este trabajo se refleja en que la revista Science lo considerara el más importante resultado científico del año 1998.
En 2014 Betoule et al. (A&A, 568, 22) publico la muestra más grande de supernovas de alto z:
Las restricciones aportadas por las supernovas Ia se pueden visualizar como contornos de confianza en el plano (Ωm,0,ΩΛ,0):
Este experimento excluye con gran confianza modelos con desacelaración y ΩΛ,0=0. Sin embargo, estos datos son consistentes con distintas curvaturas (abierta, plana o cerrada). Si suponemos que el Universo es plano, entonces las supernovas permiten concluir que ΩΛ,0=0.7 y Ωm,0=0.3.
Las mediciones de supernovas también permiten restringir el parámetro w de la ecuación de estado. Para esto se hace necesario adoptar ciertas suposiciones previas, tal como que el Universo es plano (Ωm,0 + ΩΛ,0 = 1), lo cual arroja los siguientes contornos de confianza:
Si, adicionalmente, asuminos las restricciones para Ωm,0 del experimento SDSS, se obtienen fuertes restricciones a w alrededor de -1 (la constante cosmológica!).