Para medir H0 es necesario medir distancias y resdhifts para objetos a z > 0.02 de modo de no tener que preocuparse de los movimientos peculiares de las galaxias. Para determinar q0 necesitamos medir distancias a objetos a redshift altos. Por ejemplo a z=0.2 la diferencia en distancia entre q0=-0.55 y q0=0 es sólo 5%. A z=0.4 la diferencia es de 10%.
Para poder medir distancias a z=0.2 los objetos a observar deben ser muy luminosos. Si bien las galaxias son muy luminosas, estas presentan un gran rango de luminosidades. Además las luminosidades de las galaxias evolucionan en el tiempo. Los objetos que reunen la condición de 1) ser luminosos y 2) tener luminosidades calibrables son las supernovas de tipo Ia. Esto quedó establecido durante el proyecto Calán/Tololo en 1996:
La constante de Hubble medida con las supernovas de tipo Ia depende de la calibración de las estrellas Cefeidas. La constante de Hubble resulta 62 ± 5 usando la calibración de Sandage ó 71 ± 6 usando la calibración de Freedman.
El resultado del proyecto Calán/Tololo sentó las bases para extender el diagrama de Hubble a redshifts mayores a z=0.1 y medir q0. Recientemente, dos grupos de astrónomos realizaron búsqueda de supernovas lejanas usando el telescopio de 4m de Cerro Tololo. Los primeros resultados fueron publicados en 1998:
En el eje horizontal se grafica al redshift y en el eje vertical se grafica la magnitud aparente de las supernovas la cual está relacionada con la distancia lumínica:
Para medir q0 la constante aditiva es irrelevante ya que lo que importa es la diferencia de magnitud entre las supernovas lejanas y las cercanas para medir la desviación con respecto a una línea recta. Usando como referencia las supernovas Calán/Tololo, Riess et al. (1998, AJ, 116, 1009) y Perlmutter (1999, ApJ, 517, 565) llegaron al mismo resultado: las supernovas lejanas (z~0.5) son en promedio ~0.25 mag más debiles (o ~12% más lejanas) que lo esperado para un modelo sin materia. La diferencia es aún mayor cuando se consideran modelos con materia. El hecho de que las supernovas sean más debiles de lo esperado se debe a que el Universo se ha acelerado desde el momento en que los fotones fueron emitidos! Estas observaciones implican un parámetro de desaceleración negativo (q0=-0.55) y una componente de energía que produce una fuerza repulsiva!. Este resulatdo tomó por sorpresa a los cosmólogos y causó un gran impacto en toda la comunidad científica.
Este experimento fue el primero en aportar evidencia directa de que hay una componente de energía en el Universo que produce una aceleración. Inicialmente, por razones de simplicidad esta componente se atribuyó a una constante cosmológica (ω=-1), aunque no se pueden descartar componentes de energía con 1 < ω <-1/3 que también producen aceleración. El nombre genérico para estas componentes es el de energía oscura. El impacto de este trabajo se refleja en que la revista Science lo considerara el más importante resultado científico del año 1998.
En 2006 el proyecto "Supernova Legacy Survey" (Astier et al. 2006; A&A, 447, 31) ha publicado la muestra más grande de supernovas de alto z:
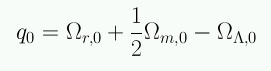
Recordemos que el parámetro de desaceleración permite restringir los parámetros de densidad:
Las restricciones aportadas por las supernovas Ia se pueden visualizar como contornos de confianza en el plano (Ωm,0,ΩΛ,0):
Este experimento excluye con gran confianza modelos con desacelaración y ΩΛ,0=0. Sin embargo, estos datos son consistentes con distintas curvaturas (abierta, plana o cerrada). Si suponemos que el Universo es plano, entonces las supernovas permiten concluir que ΩΛ,0=0.7 y Ωm,0=0.3.
Las mediciones de supernovas también permiten restringir el parámetro w de la ecuación de estado. Para esto se hace necesario adoptar ciertas suposiciones previas, tal como que el Universo es plano (Ωm,0 + ΩΛ,0 = 1), lo cual arroja los siguientes contornos de confianza:
Si, adicionalmente, asuminos las restricciones para Ωm,0 del experimento SDSS, se obtienen fuertes restricciones a w alrededor de 1 (la constante cosmológica!).