Referencias útiles:
Rosati et al. (ARA&A, 2002, 40, 539) (Gas caliente intracúmulo)
Mulchaey (ARA&A, 2000, 38, 289) (Gas caliente intragrupo)
Alcock et al. 2000, ApJ, 542, 281 (MACHOs)
Podemos estimar la densidad de materia en forma de estrellas a partir de la luminosidad por unidad de volumen en el Universo local y una medida de la razón masa-luminosidad de dichas estrellas.
Al sumar la luminosidad de las galaxias en la banda B en un volumen de algunos cientos de Mpc de nuestra galaxia se obtiene la siguiente densidad de luminosidad:
en que
La densidad de luminosidad se puede descomponer en la función de luminosidad de galaxias, φ(L),
en que φ(L)dL es el número de galaxias por unidad de volumen (Mpc3) con luminosidad entre L y L+dL. La función de luminosidad varía entre el campo y los cúmulos (Virgo, Coma), pero en ambos ambientes hay muchas galaxias pocos luminosas! Esta distribución se aproxima con la función de Schechter (FS):
La FS tiene tres parámetros característicos que se determinan empíricamente. Para galaxias de campo en el Universo local: φ*=10-2 (H0/100)3 Mpc-3, L*=1010 (H0/100)-2 Lsol, M*= -20.3+5 log(H0/100), α≈1.
M* es la magnitud que caracteriza el quiebre en la FS, mientras que α determina la pendiente de la FS a bajas luminosidades.
Al multiplicar esta función por la luminosidad e integrar en luminosidad se obtiene la densidad de luminosidad:
Para convertir la densidad de luminosidad a densidad de masa debemos conocer la razón masa-luminosidad (M/L) para las estrellas que forman las galaxias. Para el caso del Sol M/LB = 1 Msol/Lsol,B. Esta razón se puede convertir a unidades de [W/kg] usando la masa del Sol (Msol=2×1030 kg) y su luminosidad (Lsol=3.8×1026 W), pero es común usar las unidades Msol/Lsol,B. Desafortunadamente la razón M/L cambia de estrella a estrella. Por ejemplo las estrellas menos masivas de la secuencia principal tienen M/L=10+3 Msol/Lsol,B, mientras que las más masivas tienen M/L=10-3 Msol/Lsol,B.
La razón M/L de las galaxias depende de la mezcla de estrellas que contenga. En la vecindad solar (hasta 1 kpc) se obtiene M/L~4 (a menudo se omiten las unidades Msol/Lsol,B). Si suponemos que esta muestra es representativa de las poblaciones estelares de las galaxias, podemos derivar la densidad de masa del Universo multiplicando la densidad de materia por la razón M/L:
Recordando que la densidad crítica actual del Universo es:
el parámetro de densidad de materia estelar es:
Es decir, las estrellas aportan solo 0.4% de la masa necesaria para lograr un universo plano. Este número, sin embargo, puede cambiar debido a que M/L puede aumentar significativamente si agregáramos objetos compactos poco luminosos (enanas blancas, estrellas de neutrones, agujeros negros, enanas cafés) que no fueron considerados en el censo alrededor del Sol.
El medio interestelar contiene gas que también aporta a la masa total de las galaxias. La fracción de gas varía con el tipo de Hubble (baja para galaxias elípticas y alta para irregulares). Para una galaxia espiral como M31 la masa en forma de gas es un 10% de la masa estelar.
El medio intergaláctico también contiene importantes cantidades de gas. Veamos como ejemplo el cúmulo de Coma en longitudes de onda ópticas:
La suma de la luminosidad de todas las galaxias en la banda B es LComa,B=8 × 1012 Lsol,B. Asumiendo M/L~4 la masa del cúmulo en forma de estrellas es MComa,*~3 × 1013 Msol.
El mismo cúmulo en rayos X:
Esta imagen en rayos X revela gas muy caliente (108 K) de baja densidad que llena el espacio intracúmulo. Análisis de su espectro permite determinar que MComa,gas~2 × 1014 Msol, es decir 7 veces más que la masa estelar!
Como veremos más adelante es posible obtener una medida total de los bariones en el Universo a partir de las predicciones de la nucleosíntesis primordial, que resulta ser:
Vemos que esta cantidad es 10 veces mayor que la densidad estelar. La mayoría de los bariones son muy poco luminosos (enanas cafés, enanas blancas, estrellas de neutrones, agujeros negros) o muy difusos (gas caliente intracúmulo). En conclusión:
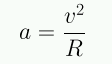
Un método clásico en la determinación de masas de galaxias espirales es a través de la curva de rotación. Una galaxia espiral tiene un disco aplanado en el cual se encuentran estrellas en órbitas casi circulares en torno al centro de la galaxia. Consideremos una estrella a una distancia R del centro con una velocidad orbital v. La aceleración de la estrella es:
la cual se debe a la atracción gravitacional de la masa M(R) interior a R:
por lo cual:
El brillo superficial del disco de una galaxia espiral típica cae exponencialmente desde el centro:
en que Rs es del orden de 4-6 kpc. Para R>10 kpc, se puede considerar que I(R)∼cte, por lo cual esperaríamos que la velocidad de las estrella disminuyera como v∼√R para R>10 kpc. Esto es lo que se llama rotación Kepleriana.
La velocidad orbital de la estrellas en función de R se llama curva de rotación y se puede determinar a partir de observaciones.
Consideremos una galaxia con un disco delgado y circular. Si el plano del disco está inclinado en un ángulo i (entre la normal al disco y la línea de visión), veremos proyectado en el plano del cielo un disco elíptico y no circular:
La razón de los ejes del disco elíptico es:
Si ponemos una ranura a lo largo del eje mayor obtenemos un espectro cuyas líneas de emisión apararecen desplazadas en longitud de onda debido al efecto Doppler.
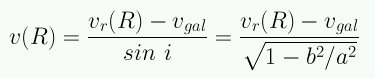
A partir de este desplazamiento podemos obtener la velocidad radial (a lo largo de la dirección de visión) en función de la distancia al centro de la galaxia:
La velocidad radial observada es la suma de la velocidad radial de la galaxia como un todo causada por la expansión del Universo, vgal, y la velocidad rotacional a una distancia R. Notar que la velocidad rotacional depende de la inclinación (e.g. en una galaxia vista de frente, i=0, no podremos medir la velocidad rotacional). A partir de esta observación podemos determinar la velocidad rotacional v(r), siempre que i≠0 y que hayamos determinado b/a:
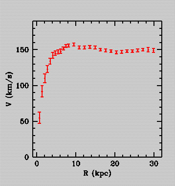
La primera observacion de este tipo la hizo Vesto Slipher en 1914 para la galaxia M31 hasta R=18 kpc. En 1970 Vera Rubin pudo extender la curva de rotación hasta R=24 kpc. En 1975 se logró extender dicha curva hasta 30 kpc:
Lo sorprendente es que la medición no muestra la rotación Kepleriana, v∼√R, sino una curva de rotación plana con una velocidad v(R)~230 km s-1! En vista que la velocidad de rotación de las estrellas para R>10 kpc es mayor que la velocidad atribuible a la masa visible de las estrellas de la galaxia, se deduce que debe haber un halo oscuro en el cual el disco está contenido. La masa del halo provee la atracción gravitacional necesaria para evitar que las estrellas del disco salgan volando.
La galaxia M31 no es una excepción:
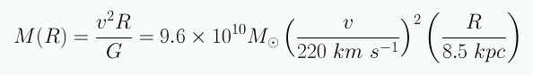
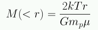
Aproximando la velocidad de rotación como una constante podemos inferir la masa interior a R para galaxias espirales:
Esta es la "masa dinámica" inferida a partir de la velocidad orbital de las estrellas, por lo que contiene tanto la masa de las estrellas, gas y halo. Esta ecuación ha sido escalada para la velocidad del Sol en la Galaxia.
Para la Galaxia se ha medido que la velocidad de rotación se mantiene constante hasta R=20 kpc. Las velocidades de los cúmulos globulares que orbitan la Galaxia implican que el halo debe extenderse hasta 75 kpc, de lo contario los cúmulos saldrían volando. Tomando un rango entre 20 y 75 kpc para el radio del halo (Rhalo) y asumiendo que la velocidad de rotación se mantiene constante en este rango, la masa de la galaxia debe ser 2-8×1011 Msol.
Dado que la luminosidad de la Galaxia en la banda B es LGal,B,=2.3×1010 Lsol,B, podemos calcular la razón M/L para la Galaxia:
Esta razón M/L es 10 veces mayor que la de las estrellas en nuestra galaxia! lo que implica que el halo tiene 10 veces más masa que el disco estelar. Si esta razón es representativa de la razón M/L de las demás galaxias, el parámetro de densidad de las galaxias y sus halos debe ser:
Recordemos que la nucleosíntesis primordial predice Ωbar,0=0.04±0.01. Esto implica que:
Según la Relatividad General la materia no sólo afecta la trayectoria de la materia, sino también la trayectoria de los fotones. La materia puede deflectar la luz actuando como un lente gravitacional.
En principio, al medir la deflección de la luz resulta posible medir la masa del lente. Este método se ha utilizado para detectar objetos compactos (enanas cafés, enanas blancas, estrella de neutrones, agujeros negros) en el halo de la Galaxia (MACHOS=Massive Compact Halo Objects) que actúen de lente para objetos de fondo tales como las estrellas de la Nube Grande de Magallanes (NGM).
Si un fotón pasa cerca de un MACHO de masa M con un parámetro de impacto b, la curvatura del espacio-tiempo causa una deflección del fotón en un ángulo:
El caso de fotones provenientes de una estrella distante que rozan la superficie del Sol:
Si un MACHO del halo de nuestra galaxia pasa justo delante de un una estrella de la NGM el MACHO puede actuar como un lente produciendo una imagen con forma de anillo de tamaño angular:
en donde M es la masa del MACHO, d es la distancia a la fuente, y xd es la distancia al MACHO. El ángulo θE se conoce como radio de Einstein. Para el caso x=0.5:
Este ángulo es demasiado chico para resolverlo. En estos casos se habla de microlente. Aunque no se pueda resolver el radio de Einstein, el lente producirá una amplificación del flujo que es posible medir.
La probabilidad de que una estrella del halo haga de lente de una estrella es muy baja, por lo que se hace necesario monitorear millones de estrellas por varios años y detectar sus cambios de flujo. Para este fin se ha seleccionado la NGM.
Debido a que las estrellas del halo y la NGM está en movimiento relativo, un evento de microlente se caracteriza por un abrillantamiento de la estrella del la NGM mientras su distancia angular con el MACHO disminuye, y luego un debilitamiento mientras la separación angular vuelve a aumentar.
Para el caso x=0.5 la duración del evento es de:
en donde v es la velocidad transversal relativa del MACHO y la estrella de la NGM.
Los primeros MACHOS fueron descubiertos en 1993. El número de eventos detectados sugiere que sólo el 20% del halo está compuesto de MACHOS. La duración de los eventos de microlentes (Δt>35 días) sugiere que las masas de los MACHOS es >0.15 Msol. Un problema de esta técnica es que la distancia al lente no se conoce por lo que la masa del MACHO no se puede determinar inequívocamente. La principal conclusión de este experimento es que la masa del halo de la Galaxia está en forma distinta de los MACHOS.
Un método clásico para determinar la masa de los cúmulos de galaxias es a través del teorema del Virial. El primer astrónomo en realizar este estudio en el cúmulo de Coma fue Fritz Zwicky en 1930. El observó que las galaxias del cúmulo tienen una dispersión de velocidades de ∼1000 km s-1 y que para evitar que las galaxias "salgan volando" el cúmulo necesita mucho más masa que aquella en forma de estrellas y gas. Zwicky concluyó que el cúmulo debe tener una gran cantidad de materia oscura.
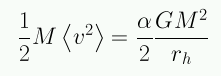
Teorema del Virial: para un cúmulo de N galaxias aislado y ligado gravitacionalmente que no se expande ni se contrae :
en que:
K: energía cinética del cúmulo
W: energía potential del cúmulo
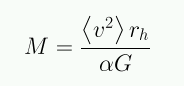
Aplicando el teorema a un cúmulo con masa total M, dispersión de velocidades < v2>, y rh (radio que contiena la mitad de la masa):
El parámetro α es un factor numérico que depende del perfil de densidad del cúmulo ≈0.4. De acá se puede deducir la masa total M:
En el caso del cúmulo de Coma se mide una dispersión de velocidades a lo largo de la línea de observación de σr=880 km s-1. Asumiendo que esta dispersión es isotrópica, la dispersión de velocidades en 3D es < v2>=3×(880 km s-1)2=2.32×1012 m2 s-2. El radio rh se puede medir a partir de la esfera que contiene la mitad de la luminosidad lo cual arroja rh≈1.5 Mpc≈4.6×1022 m. Con estos ingredientes obtenemos:
Esta es la masa dinámica inferida a partir de los movimientos de las galaxias del cúmulo y contiene todos los elementos que producen gravedad. Vemos que sólo 2% de la masa de Coma está en forma de estrellas (MComa,*≈3 × 1013 Msol) y que sólo 10% está en forma de gas caliente intracúmulo (MComa,gas≈2 × 1014 Msol).
Otro método para determinar la masa del cúmulo consiste en medir la temperatura y densidad del gas caliente intracúmulo.
Esta imagen en rayos X revela gas muy caliente (108 K) de baja densidad que llena el espacio intracúmulo. Los espectros revelan que se trata de gas de altamente ionizado, con metalicidades significativas (1/3 solar) (procesado por estrellas y expulsados por supernovas).
El gas debe encontrarse en equilibrio hidrostático (de lo contrario ya se habría dispersado en el espacio):
Los espectros sugieren un gas isotermal (T=cte), en cuyo caso:
Si la distribución radial del gas es la misma que la de la masa del cúmulo, ρgas(r)=k/r2,
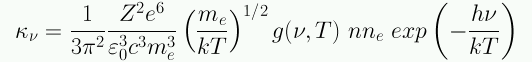
Se requieren altas temperaturas (~108 K) para que la presión del gas pueda contrarrestar la fuerza gravitacional del cúmulo. En estas condiciones de temperatura, el plasma caliente emite radiación bremsstrahlung en la banda de rayos X:
La emisividad depende de la temperatura del plasma y de la densidad de los iones (n) y electrones (ne). La temperatura del gas se obtiene directamente del espectro de rayos X y el perfil de densidad se obtiene del perfil de brillo en rayos X. Integrando la emisividad en todas las frecuencias y sobre la distribucion de brillo se obtienen luminosidades LX=1040-1045 erg/sec y una masa total de gas caliente MComa,gas~2 × 1014 Msol, es decir 7 veces más que la masa estelar.
Asumiendo equilibrio hidrostático, la temperatura determinadas con el método de rayos X arroja valores comparables para la masa total del cúmulo, aunque 2-3× menores que las masas viriales.
Como la dispersión de velocidades está relacionada con la masa del cúmulo (teorema del Virial) y la temperatura del gas intracúmulo también está relacionada con la masa del cúmulo (equilibrio hidrostático), esperamos una correlación entre la temperatura del gas y la dispersión de velocidades (σ):
Las observaciones confirman que los cúmulos más masivos tienen gas a mayores temperaturas:
Estas dos mediciones independientes implican que la masa del cúmulo de Coma es ~1015 Msol y que la gran mayoría de esta masa del cúmulo es oscura (no está en forma de los elementos que emiten luz como las estrellas y el gas caliente).
Combinando la masa total del cúmulo y la luminosidad del cúmulo (LComa,B=8 × 1012 Lsol,B) obtenemos una razón M/L:
Notar que esta razón es mucho mayor que la razón M/L≈10-35 medida para la Galaxia. Esto implica que 1) las galaxias contienen halos mucho más grandes que 75 kpc, o 2) que el cúmulo tiene un halo oscuro propio.
El cúmulo de Coma no es una excepción. Al aplicar el teorema del Virial a otros cúmulos de galaxias se encuentran razones M/L entre 200 y 300. Tomando en cuenta la densidad de los cúmulos de galaxias esta razón M/L se traduce en un parámetro de densidad:
Este valor es un límite inferior a la densidad de materia del Universo ya que una componente de densidad uniformemente distribuída en el espacio intercúmulo no está incluída en esta estimación.
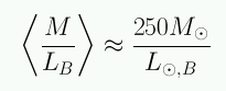
La variación de M/L aumenta con el tamaño (escala) de los sistemas (galaxias, grupos, cúmulos y supercúmulos):
La razón M/L aumenta hasta escalas de 1 Mpc y luego se satura hasta alcanzar M/L≈250 (Bahcall et al., 2000, ApJ, 541, 1).
Los lentes gravitacionales ocurren a todas escalas de masas. En particular un cúmulo de galaxias puede servir de lente para galaxias ubicadas detrás del cúmulo.
En este caso se ven imágenes con formas de arcos causadas por las distorsiones en el espacio producidas por el cúmulo. Debido a que la masa del cúmulo es tan grande (∼1014 Msol) el radio de Einstein es de varios segundos de arco y se puede resolver:
La masa del cúmulo se puede calcular a partir del grado de distorsión de las imágenes de las galaxias de fondo. Para esto se requiere modelar la distribución de la masa del cúmulo. Las masas determinadas por este método están en buen acuerdo con las masas determinadas por el método del teorema del Virial.
La dinámica de los cúmulos de galaxias indica que Ωm,0≥0.2. Por otro lado la nucleosíntesis primordial restringe la densidad de bariones a Ωbar,0≈0.04. Es decir, la densidad de masa no bariónica es ≥4 veces que la densidad bariónica.
Posibles candidatos a materia no bariónica: