Complementos de fotometría astronómica

    El objetivo de la fotometría astronómica es medir el flujo de las estrellas fuera de la atmósfera terrestre. El desafío es determinar los efectos de la extinción atmosférica y de respuesta instrumental, los cuales afectan el flujo observado.

    I. Extinción atmosférica

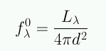
    Si L&lambda (erg s-1 Å-1) es la luminosidad de la estrella y d su distancia, el flujo f&lambda0 (erg s-1 Å-1 cm-2) recibido fuera de la atmósfera esta dado por la ley del inverso del cuadrado:

    La luz de la estrella se atenúa al cruzar la atmósfera debido a absorción y scattering, por lo cual el flujo recibido en la superficie de la Tierra f&lambda es menor que f&lambda0 (f&lambda < f&lambda0). Para ver cómo se se atenúa el flujo partamos por la ecuación de transferencia radiativa:

    en que k&lambda (cm2 g-1) es la opacidad de la atmósfera, &rho (g cm-3) es la densidad de la atmósfera a una altura h sobre la superficie, y ds es el elemento de distancia entre la estrella y el observador.

    Suponiendo una atmósfera de capas planas y un objeto celeste a una distancia cenital z:

    se puede ver que :

    con lo cual:

    La solución es:

    en que H es la altura total de la atmósfera medida desde el observatorio. Si defino &mu0 como la masa de aire por unidad de área en la vertical (g cm-2) y &mu como la masa de aire por unidad de área en la dirección de observación,

    y si defino la masa de aire X (sin dimensiones) en la dirección de observación,

    la ecuación de transferencia queda:

    El flujo decae exponencialmente y el decaimiento crece con la masa de aire.

    La masa de aire es 1 en la vertical (z=0), y 2 para z=60o. La aproximación de capas planas es válida cerca del cenit. Tomando en cuenta la curvatura de la atmósfera la masa de aire es:

    Podemos definir la transparencia Eλ de la atmósfera en la vertical (X=1):

    con lo cual vemos que la transparencia depende de la opacidad

    El flujo de la estrella para una masa de aire X es:

    Estos gráficos muestran la transparencia de la atmósfera en función de λ:

    La absorción atmosférica se debe a:

    • líneas atómicas y moleculares como el O3 (ozono), O2, O, N2, N, CO2, H2O. Las bandas A (7600 Å) y B (6870 Å) debidas al O2 son prominentes en el óptico.
    • Scattering de Rayleigh por moléculas de aire: k &prop &lambda-4
    • Scattering por partículas de humo y niebla: k &prop &lambda-1 - k &prop &lambda-2

    II. Respuesta instrumental

    Los detectores en astronomía miden fotones y NO energia. La cantidad medida es el número de fotones registrados durante un cierto tiempo de exposicion, a partir de lo cual se puede deducir la tasa de fotones (# s-1) a una longitud de onda característica &lambda :

    en que A es el área colectora del telescopio, M&lambda es la reflectividad del espejo(s), F&lambda la transmisión del filtro, Q&lambda es la eficiencia cuántica del detector. Aquí se consideran dos reflecciones para un telescopio tipo Cassegrain. Además habría que agregar otros factores que den cuenta de otros elementos ópticos a lo largo del camino óptico hacia el detector.

    • Eficiencia cuántica del detector:

      El primer detector astronómico fue el ojo humano. Desde fines del siglo XIX las placas fotográficos comenzaron a utilizarse en astronomía y produjeron una revolución porque permitían tener un registro permanente de las observaciónes. Las emulsiones tenían eficiencias cuánticas bajas, entre 1% y 5%. Alrededor de 1940 se comenzaron a usar los tubos fotomultiplicadores con eficiencia de hasta 90% aunque con un solo canal. A comienzos de 1980 se comenzaron a usar los detectores bi-dimensionales en longitudes de onda ópticas (CCDs) y unos pocos años más tarde los primeros arreglos para la detección de luz en el IR.

    • Reflectividad de espejos:

      Habitualmente los espejos se recubren con delgadas capas de aluminio aunque hay nuevos materiales más reflectantes dependiendo de la longitud de onda de interés.

    • Filtros:

      Los filtros se fabrican con distintos materiales ópticos con el fin de aislar ciertas zonas espectrales de interés. Cuando el ancho de la banda a media altura es mayor que 300 Å se habla de fotometría de banda ancha, entre 100-300 Å es fotometría de banda intermedia, y para anchos menores a 100 Å se trata de fotometría de banda angosta.

      A continuación se muestra uno de los sistemas fotométricos más usados: el sistema de banda ancha UBVRIJHKLM establecido por Johnson entre 1953-1959.


      Filtros del sistema de Johnson y el espectro de Vega

      Acá se muestra el sistema de Sloan introducido en 1996 que está siendo muy empleado. Es un sistema de banda ancha hecho de filtros interferenciales los cuales permiten definir muy bien los límites de cada banda (excepto el filtro z'), y una mejor reproducibilidad.


      Filtros del sistema de Sloan y el espectro de Vega

      Los filtros se caracterizan por la longitud de onda equivalente y/o longitud de onda efectiva :

      Características de los filtros de Johnson y de Sloan:

      FILTRO&lambdaeqFWHM(Å)
      U3652524
      B44681008
      V5505826
      R65811576
      I80591543
      J124002300
      H165003100
      K216003300
      L350004000
      M475004600
      u'3522634
      g'48031409
      r'62541388
      i'76681535
      z'91141409

      El sistema UBVRI está definido en Bessell 1990 (PASP, 102, 1181)
      Los filtros JHK están definidos en Persson et al. 1998 (AJ, 116, 2475)
      Los filtros L y M están definidos en Bessell and Brett 1988 (PASP, 100, 1134)
      El sistema de Sloan está definido en Fukugita et al. 1996 (AJ, 111, 1748)

    • Transmisión de otros elementos ópticos en el camino óptico: ventana del CCD, corrector de campo, etc.

    Los datos para producir estos gráficos estan ACA.

    La respuesta instrumental se compone de varios factores los cuales se pueden agrupar en una "curva de respuesta" o "banda de paso" S&lambda:

    Se define la magnitud instrumental como una medida logarítmica de la tasa de fotones detectados:

    o bien:

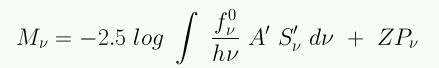
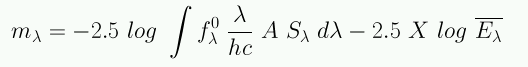
    En términos del flujo fuera de la atmósfera:

    Nuestro objetivo es f&lambda0 y el desafío es corregir la magnitud instrumental por extinción y por la respuesta instrumental.

    III. Corrección por extinción atmosférica

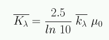
    Como separamos extinción de respuesta instrumental? Defino una transparencia media:

    con lo cual:

    Defino la magnitud fuera de la atmósfera:

    y defino el coeficiente de extinción K&lambda [en unidades de magnitud × (masa de aire)-1] en términos de la transparencia media:

    con lo cual se obtiene la ecuación de Bouger:

    Para determinar el coeficiente de extinción K&lambda debemos observar una estrella a distintas masas de aire. Habitualmente se debe restringir el rango a X=1-2 ya que a masas de aire mayores la aproximación lineal ya no es válida. Esta medición sólo se puede hacer cuando la extinción se mantiene estable en el tiempo y en distintas direcciones durante la noche, en cuyo caso se habla de ''noche fotométrica''. Para que se cumpla esta condición al menos la noche debe estar totalmente despejada.

    Notar que K&lambda es un coeficiente medio usando como función de peso la banda de paso y la distribución espectral de la estrella, por lo que el coeficiente de extinción no es necesariamente igual para todas las estrellas. En general tendremos:

    Para todos los filtros angostos y para la mayoría de los filtros anchos K''&lambda = 0. Para el filtro U y B se logran medir dependencias de K&lambda con el color.

    Coeficientes de extinción medidos en Las Campanas en el sistema de Johnson y Sloan:

    FILTROK&lambda [mag (masa de aire)-1]
    U0.57
    B0.29
    V0.13
    R0.10
    I0.08
    J0.11
    H0.05
    K0.08
    u'0.51
    g'0.20
    r'0.11
    i'0.06

    Notar que la extinción disminuye fuertemente con la longitud de onda. Esto explica porqué el cielo es azul y porqué el Sol se enrojece a la puesta.

    El coeficiente de extinción mide la opacidad de la atmósfera a lo largo de la vertical.

    IV. Transformación de magnitudes instrumentales al sistema estándar

    Una vez determinada la extinción podemos calcular magnitudes instrumentales fuera de la atmósfera. Bien, pero las magnitudes instrumentales varían de instrumento a instrumento. Para poder comparar magnitudes obtenidas con instrumentos diferentes se define un sistema estándar al cual deben convertirse las magnitudes instrumentales.

    Si S'&lambda es la banda de paso del sistema estándar, se define la magnitud en el sistema estándar (o magnitud estándar) como:

    en que ZP&lambda es el punto cero de la escala de magnitudes y difiere para cada sistema.

    Notar que S'&lambda &ne S&lambda. La diferencia entre la magnitud instrumental y la magnitud estándar es:

    El término con la razón de las áreas es independiente de la estrella medida y se puede combinar con ZP&lambda en una constante aditiva C&lambda a ser determinada observacionalmente:

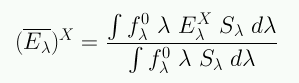
    El término con la razón de los flujos, sin embargo, depende de la distribución espectral de cada estrella:

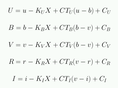
    La ecuación de tranformación al sistema estándar se puede escribir:

    en que CT&lambda es el término de color. Para determinar CT&lambda y C&lambda debemos observar estrellas estándares de distintos colores. Como hay dos incógnitas al menos necesitamos 2 estrellas. Lo ideal es tener 20 estrellas y usar un ajuste de cuadrados mínimos.

    Si S'&lambda = S&lambda tendremos C&lambda= 0. El valor medido de CT&lambda es un diagnóstico de cuan parecido es el sistema instrumental al sistema estándar (mientras más chico mejor).

    Ejemplo de ecuaciones de transformación:

    Catálogos de estrellas estándares en el sistema UBVRI: Landolt 1992 (AJ, 104, 340)
    Catálogos de estrellas estándares en el sistema JHK: Persson et al. 1998 (AJ, 116, 2475)
    Catálogos de estrellas estándares en el sistema Sloan: Smith et al. 2002 (AJ, 123, 2121)

    V. Transformación de magnitudes estándares a flujos monocromáticos

    Recordemos el significado de la magnitud estándar:

    En términos de frecuencia:

    • En el sistema de Sloan el punto cero ZP&nu se ha ajustado para cada filtro de tal modo que

      Esta definición ofrece la ventaja de que la conversión de magnitud a flujo es igual para todos los filtros de Sloan:

      A partir de la espectrofotometría de Vega se han calculado las siguientes magnitudes sintéticas en el sistema de Sloan: u'=0.981, g'=-0.093, r'=0.166, i'=0.397, z'=0.572. Notar que en el sistema de Sloan los colores de Vega no son cero ya que la distribución espectral f&nuo de Vega no es plana:

    • En el sistema de Johnson el punto cero se ha ajustado de tal modo que un grupo de estrellas A0V tenga magnitud cero en todos los filtros. Para el caso particular de Vega las magnitudes NO son exactamente cero: U=0.030, B=0.030, V=0.030, R=0.067, I=0.075 (Johnson et al. 1966). Con esta definición el flujo para una estrella de magnitud cero varía de filtro a filtro:

      Flujo para estrella de magnitud cero en el sistema de Johnson
      FILTROf&nu0 (mag=0)
      - [erg s-1 cm-2 Hz-1]
      U1.81 × 10-20
      B4.26 × 10-20
      V3.64 × 10-20
      R3.08 × 10-20
      I2.55 × 10-20

      y el flujo para una estrella de magnitud M&nu es:

    VI. Ejemplo de fotometría CCD en el sistema UBVRI

    Noche del 30/09/2002 con el telescopio de 1 m de Las Campanas. Se observaron 5 campos de estrellas estándares de Landolt y varios campos de objetos de programa. Se usó el paquete "apphot" en IRAF para la reducción de los datos. Esta figura muestra el campo T Phe y las cuatro estrellas estándares:

    • Medición de magnitudes instrumentales:

      Se usó la tarea "phot" para medir los fotones (electrones) registrados en el CCD de las estrellas de Landolt usando una apertura de radio de 7". Esta es la misma apertura usada por Landolt en el establecimiento del sistema fotométrico UBVRI. Para restar el cielo se seleccionó un anillo de 2" de ancho a una distancia de 8" de cada estrella. Acá se muestra el perfil radial de una estrella y los pixeles en el ánulo del cielo:

      La tarea "phot" calcula el cielo medio en el anillo, resta este cielo de cada pixel contenido en la apertura y suma la contribución de los fotones registrados en cada pixel dentro de la apertura. La tarea se encarga de normalizar el número de fotones por el tiempo de exposición y de calcular una magnitud instrumental.

    • Errores instrumentales:

      Supongamos una apertura con n* pixeles, un ánulo con ns pixeles. Si pi son los fotones registrados en el pixel i debido a la estrella y si los fotones registrados en el mismo pixel debido al cielo (i:1 &rarr n*), los errores en cada cantidad son

      El cielo medio se obtiene de los j pixeles del ánulo (j:1 &rarr ns)

      Como no podemos separar los fotones de la estrella y del cielo en el pixel i, el flujo neto de la estrella en el pixel i lo obtenemos restando el cielo medio medido en el ánulo:

      y el flujo neto total de la estrella es:

      El error en f se obtiene sumando en cuadratura:

      en que ron es el ruido de lectura del CCD. En el caso ns >> 1:

      El error relativo en f es:

      Notar que σf/f decrece cuando f crece. Dependencia de σf/f con n*: el primer término crece cuando n* disminuye porque se pierde flujo al achicar la apertura, mientras que el segundo término decrece cuando n* disminuye. Hay un punto óptimo en que σf/f es mínimo y este punto depende de la distribución radial de f, i.e., el seeing.

      La relación entre σf/f y σm se obtiene usando la fórmula de propagación de errores:

      Notar que si σm=0.01 mag &rarr (σf/f)=1%, &rarr (S/N)=100

    • Transformación al sistema estándar:

      La tarea "fitpar" usa las magnitudes instrumentales y las magnitudes estándares de Landolt para resolver el coeficiente de extinción, término de color y punto cero de la transformación usando un ajuste de cuadrados mínimos pesados.

      Estos gráficos muestran los residuos de la transformación asumiendo que el coeficiente de extinción es cero y luego asumiendo que el término de color es cero:

      Ahora se muestran los residuos de la transformacion ajustando el coeficiente de extinción y el término de color:

      Este ajuste arroja una dipersión (desviacion estándar) de 0.011 mag. Cuando la dispersión sobrepasa 0.03 mag se sospecha de la calidad fotométrica de la noche.

    • Medición de magnitudes para objetos de programa:

      Los objetos de programa suelen ser débiles por lo cual no conviene medir sus flujos a través de aperturas muy grandes. Con el fin de minimizar el ruido, se mide el objeto de interés con una apertura pequeña y se aplica una corrección de apertura obtenida a partir de algunas estrellas brillantes del campo (como las indicadas abajo).

      Estas estrellas permiten determinar la curva de crecimiento, definida como la diferencia en magnitud entre aperturas concéntricas, en función del radio de la apertura. Esta curva mide cuando flujo se pierde al achicar la apertura.

      Finalmente, la magnitud instrumental del objeto de interés se convierte al sistema estándar usando la ecuación anterior.


      mhamuy@das.uchile.cl